Abstract
Background: Using EBMT registry data, the DRSS has been proposed to predict relapse risk after allogeneic hematopoietic cell transplantation (HCT) across disease subtypes and remission states ordered in 55 categories and 5 risk levels (Shouval R et al. Lancet Haematol. 2021). For acute myeloid leukemia (AML) the DRSS combines ELN risk group, remission rank, and de novo vs. secondary AML in 19 categories and for myelodysplastic syndrome (MDS) it includes 5 categories.
Purpose: We sought to determine the reproducibility of the DRSS in a cohort of subjects transplanted for AML and MSD.
Methodology: Data from a single-center cohort of adult AML patients transplanted between 01/07/2015 and 30/06/2020 was analyzed retrospectively. Baseline characteristics and outcomes were extracted and Fine-Gray regression was used to determine the association between cumulative incidence of relapse (CIR) and patient, disease, and transplant characteristics. Model selection techniques were used to select the least number of significant predictors of CIR.
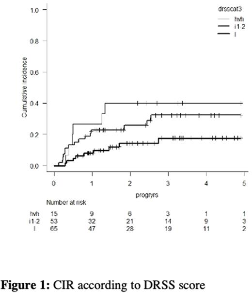
Results: In this cohort of 125 patients, median follow-up was 2.8 years (interquartile range: 0.9-3.2) and CIR was 26 % at 4 years (95% confidence interval: 18-35). The study of the association between CIR and patient age >60 years, donor type (related matched, haploidentical, matched unrelated), regimen intensity, secondary disease, graft source (peripheral blood, bone marrow) and DRSS. Risk categories for DRSS was divided into 3 groups with CIR at 4 years of 18% (confidence interval [IC] 8-30) for low risk, CIR of 32% (IC19-46) for intermediate 1 and 2, and CIR of 40% (IC 17-63) for high and very high group. Univariate graphic representation of CIR according to DRSS is shown in figure 1.
Conclusions: In adults with AML and MDS, cumulative incidence of relapse after allogeneic HCT can be predicted by DRSS across all donor types and age groups.
Disclosures
Roy:Kiadis Pharma: Consultancy, Honoraria; Knight Therapeutics: Consultancy; Pfizer: Speakers Bureau. Sauvageau:ExCellThera: Consultancy, Current Employment, Current equity holder in private company, Honoraria, Membership on an entity's Board of Directors or advisory committees, Patents & Royalties, Research Funding; BMS: Research Funding. Veilleux:Novartis: Honoraria, Membership on an entity's Board of Directors or advisory committees; Kite-Gilead: Honoraria, Membership on an entity's Board of Directors or advisory committees.
Author notes
Asterisk with author names denotes non-ASH members.

This feature is available to Subscribers Only
Sign In or Create an Account Close Modal